Hiperbola
Hiperbola adalah salah satu dari tiga jenis irisan kerucut, yang dibentuk oleh irisan suatu bidang dan kerucut ganda.
Persamaan hiperbola dengan pusat O (0, 0).
Vertikal: (x²/b²) – (y²/a²) = 1
Horisontal: (x²/a²) – (y²/b²) = 1
keterangan:
- a : ½ x Panjang sumbu nyata
- b : ½ x panjang sumbu imajiner
-
Rumus Hiperbola Vertikal dan Horisontal pada Titik pusat (0,0)
| Vertikal | Horisontal | |
|---|---|---|
| Titik pusat (0,0) | ||
| Persamaan | ||
| Panjang sumbu mayor | ||
| Panjang sumbu minor | ||
| Panjang Latus Rectum | ||
| Fokus | ||
| Puncak | ||
| Asimtot | ||
| Eksentrisitas | ||
| Titik pusat (h,k) | ||
| Persamaan | ||
| Panjang sumbu mayor | ||
| Panjang sumbu minor | ||
| Panjang Latus Rectum | ||
| Fokus | ||
| Puncak | ||
| Asimtot | ||
| Eksentrisitas | ||
dimana
Hiperbola muncul dalam berbagai hal:
- sebagai kurva yang mewakili fungsi pada bidang Sistem koordinat Kartesius,
- sebagai garis edar yang diikuti oleh ujung bayangan jam matahari,
- sebagai bentuk orbit terbuka (berbeda dengan orbit elips tertutup), seperti orbit pesawat ruang angkasa selama ada bantuan gravitasi melalui perputaran sebuah planet atau lebih umumnya setiap pesawat ruang angkasa yang melebihi kecepatan lepas dari planet terdekat,
- sebagai jalur penampakan tunggal komet (yang melintas terlalu cepat untuk kembali ke tata surya),
- sebagai lintasan hamburan dari partikel subatom (ditindaklanjuti dengan gaya tolak bukan gaya tarik tetapi prinsipnya sama),
- dalam navigasi radio, ketika perbedaan antara jarak ke dua titik, tetapi bukan jarak itu sendiri, dapat ditentukan, dan seterusnya.
Contoh Soal dan Jawaban Hiperbola
1. Tentukan kedua titik fokus dari hiperbola: (x²/16) – (y²/9) = 1
Jawaban:
(x²/a²) – (y²/b²) = 1, jika kita melihat persamaan umumnya, maka kita peroleh a=4 dan b=3. Tentu c kita cari dengan rumus c²=a²+b², dan kita dapatkan c=5.
Sehingga koordinat titik fokus dari hiperbola tersebut adalah pm (5,0)
2. Buatlah gambar grafik dari persamaan: (x²/16) + (y²/9) = 1
Jawaban:
3. Tentukan titik pusat, titik focus, dan titik puncak hiperbola dengan persamaan y2 – 2x2 = 8.
Jawaban:
Persamaan hiperbola y2 – 2x2 = 8 diubah menjadi y2/8 – x2/4 = 1.
a2 = 8 à a = 2√2
b2 = 4 à b = 2
c2 = a2 + b2 à c = √(8 + 4) = √12 = 2√3
Titik pusatnya yaitu pada O (0, 0).
Titik fokusnya yaitu (0, -c) = (0, -2√3) dan (0, c) = (0, 2√3).
Titik puncaknya yaitu (0, -a) = (0, -2√2) dan (0, a) = (0, 2√2).
4. Tentukan garis asimtot dari hiperbola: (x²/16) – y²/9) = 1
Jawaban:
(x²/a²) – (y²/b²) = 1, jika kita melihat persamaan umumnya, maka kita peroleh a=4 dan b=3. Kedua asimtotnya kita kenal sebagai
5. Soal untuk hiperbola vertikal. Tentukan kedua titik puncak, titik fokus dan garis asimtot untuk hiperbola : atau bisa juga dituliskan :
Jawab :
Ketika kita mengambil y=0, kita tidak mungkin bisa menemukan nilai x. karena bentuk
Kita ambil x=0, maka kita dapatkan y=4. Inilah puncaknya. (gambar saja coret-coretan di x=4 dan x=-4 sebagai puncak, kemudian gambar hiperbola sederhana)
Perhatikan persamaan umum yang kita gunakan :
(a itu miliknya x, berada di bawah (sebagai penyebut) dari x dan b itu miliknya y, berada di bawah (sebagai penyebut) dari y)
Sehingga, untuk soal :
Kita dapatkan a=3 dan b=4
Sehingga garis asimtotnya pun adalah
Untuk mencari titik fokus, kita perlu mencari c, yaitu kita dapatkan c itu sama dengan 5. Karena hiperbola vertikal, maka koordinat titik c adalah
6. Diketahui Hiperbola dengan persamaan: 25x2 – 144y2 – 300x – 288y – 2844 = 0
Tentukan
-
Koordinat pusat
-
Jarak pusat ke puncak
-
Jarak antar puncak
-
Jarak pusat ke fokus
-
Jarak antar fokus
-
Koordinat puncak
-
Koordinat fokus
-
Panjang latus rectum
-
Eksentrisitas
-
Persamaan asimtot
-
Persamaan direktris
Jawaban:
25x2 – 144y2 – 300x – 288y – 2844 = 0
25x2 – 300x – 144y2 – 288y = 2844
25(x2 – 12x) – 144(y2 + 2y) = 2844
25[(x – 6)2 – 36] – 144[(y + 1)2 – 1] = 2844
25(x – 6)2 – 900 – 144(y + 1)2 + 144 = 2844
25(x – 6)2 – 144(y + 1)2 = 2844 – 144 + 900
25(x – 6)2 – 144(y + 1)2 = 3600
Jika kedua ruas dibagi dengan 3600 maka:
{(x-6)²/144) – (y+1)²/25)} =1
Jenis hiperbola adalah horizontal
a2 = 144 maka a = 12
b2 = 25 maka b = 5
c2 = a2 + b2 = 144 + 25 = 169 maka c = 13
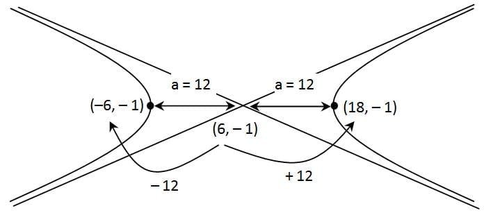
Koordinat pusat (6, – 1)
Jarak antar puncak = 2a = 24
Jarak pusat ke fokus = c = 13
Jarak antar fokus = 2c = 26
Koordinat puncak (12, 0)dan ( – 12 , 0)
Untuk memudahkan cara mencari puncak adalah sebagai berikut:
Menentukan Puncak Hiperbola
- Untuk mendapatkan puncak maka absis pusat x = 6 kita tambah dengan a=12 atau kita kurangi dengan 12
- Puncak kanan diperoleh dengan menambah absis dengan 12. x = 6 + 12 = 18, jadi puncaknya (18, –1)
- Puncak kiri diperoleh dengan mengurangi absis dengan 12. x = 6 – 12 = –6 , jadi puncaknya (–6, –1)
Koordinat fokus (13, 0) dan ( – 13 , 0)
- Untuk mendapatkan fokus maka absis pusat x = 6 kita tambah dengan c=13 atau kita kurangi dengan 13
- Fokus kanan diperoleh dengan menambah absis dengan 13. x = 6 + 13 = 19, jadi fokusnya (19, –1)
- Fokus kiri diperoleh dengan mengurangi absis dengan 13. x = 6 – 13 = –7 , jadi fokusnya (–7, –1)
Panjang latus rectum
2b²/a = 50/12 = 15/6
Eksentrisitas
e = c/a = 13/12
Persamaan asimtot
Persamaan asimtot untuk hiperbola horizontal dengan pusat (p, q) adalah:
y-q = ± b/a (x-p)
y+1 = ± 5/12 (x-6)
12y+12 = ±5(x-6)
12y+12 = ±(5x-30)
12y + 12 = 5x – 30 atau 12y + 12 = –5x + 30
5x – 12y – 42 = 0 atau 5x + 12y – 18 = 0
Jika tidak hafal dengan rumus maka cara mencari asimtot adalah dengan mengubah bilangan 1 di ruas kanan menjadi 0
Persamaan hiperbola
{(x-6)²/144) – (y+1)²/25} = 1
{(x-6)²/144) – (y+1)²/25} = 0
{(x-6)²/144) = (y+1)²/25}
25(x-6)² = 144(y+1)²
5(x-6) = ± 12(y+1)
5(x – 6) = 12(y + 1) atau 5(x – 6) = –12(y + 1)
5x – 30 = 12y + 12 atau 5x – 30 = –12y – 12
5x – 12y – 42 = 0 atau 5x + 12y – 18 = 0
Persamaan direktris
Jarak pusat ke direktris adalah
a/e = (12 / 13/12) = 144/13 = 11 1/13
Untuk mendapatkan direktris maka absis yang ada di pusat (x = 6) kita tambah dengan 11
Direktris kanan x = 6 + 11
Direktris kiri x = 6 – 11
Bacaan Lainnya
- Irisan Kerucut (Cone) – Rumus, Contoh Soal dan Jawaban
- Akar Kuadrat / Pangkat – Penjelasan, Contoh Soal dan Jawaban
- Quiz Matematika- 4√16 + 4√16 = jawaban A, B, C atau D ? - Penyederhanaan Akar Kuadrat
- Pangkat Matematika – Tabel dari 1-100 – Pangkat 2, 3, Akar Pangkat 2 dan 3 – Beserta Contoh Soal dan Jawaban
- Nilai Pi 1 juta digit pertama π
- Nilai Pi Yang Tepat π – 100 000 digit pertama
- Perbandingan Rasio Matematika – Rumus, Contoh Soal dan Jawaban
- Faktoradik Matematika – Nilai, Cara, Kode Program dan Contohnya
- Rumus Geometri – Contoh Soal dan Jawaban – Segi tiga, Persegi, Trapesium, Layang-layang, Jajaran Genjang, Belah ketupat, Lingkaran, Prisma, Balok, Kubus, Tabung, Limas, Bola
- Rumus Volume (Isi) Matematika – rumus volume untuk: kubus, balok, silinder, limas, kerucut, bola, ellipsoid, torus, tetrahedron, tarallelepiped, volume benda putar…
- Sudut Matematika dan Radian – Geometri – Soal Jawaban
- Rumus Turunan Matematika – TABEL TURUNAN DIFERENSIAL KALKULUS – Beserta Contoh Soal dan Jawaban
- Rumus-Rumus Lingkaran – Volume – Tes Matematika Lingkaran
- Induksi Elektromagnetik – Hukum Faraday dan Hukum Lenz – Soal dan Jawaban
- Rumus Induktansi, Induktor dan Energi Medan Magnet – Soal dan Jawaban
- Induksi dan Fluks Magnetik Bersama Contoh Soal dan Jawaban
- Rumus Rangkaian Listrik Dan Contoh-Contoh Soal Beserta Jawabannya
- Tabel Konstanta Fisika – Tabel konstanta universal, elektromagnetik, atom dan nuklir, fisika-kimia, nilai yang diadopsi, satuan natural, bilangan tetap
- Rumus Fisika: Alat optik: Lup, Mikroskop, Teropong Bintang, Energi, Frekuensi, Gaya, Gerak, Getaran, Kalor, Massa jenis, Medan magnet, Mekanika fluida, Momen Inersia, Panjang gelombang, Pemuaian, Percepatan (akselerasi), Radioaktif, Rangkaian listrik, Relativitas, Tekanan, Usaha Termodinamika, Vektor
- Bagaimana Albert Einstein mendapatkan rumus E=mc² ?
- Cara menjaga keluarga Anda aman dari teroris – Ahli anti-teror menerbitkan panduan praktis
- Apakah Anda Memerlukan Asuransi Jiwa? – Cara Memilih Asuransi Jiwa Untuk Pembeli Yang Pintar
- Ibu Hamil Dan Bahaya Kafein – Sayur & Buah Yang Baik Pada Masa Kehamilan
- Daftar Jenis Kanker: Pemahaman Kanker, Mengenal Dasar-Dasar, Contoh Kanker, Bentuk, Klasifikasi, Sel dan Pemahaman Penyakit Kanker Lebih Jelas
- Penyebab Dan Cara Mengatasi Iritasi Atau Lecet Akibat Pembalut Wanita
- Apakah Produk Pembalut Wanita Aman?
- Sistem Reproduksi Manusia, Hewan dan Tumbuhan
- Cara Mengenal Karakter Orang Dari 5 Pertanyaan Berikut Ini
- Kepalan Tangan Menandakan Karakter Anda & Kepalan nomer berapa yang Anda miliki?
Unduh / Download Aplikasi HP Pinter Pandai
Respons “Ooo begitu ya…” akan lebih sering terdengar jika Anda mengunduh aplikasi kita!
Siapa bilang mau pintar harus bayar? Aplikasi Ilmu pengetahuan dan informasi yang membuat Anda menjadi lebih smart!
Sumber bacaan: Math is Fun, Math Warehouse, Lumen Learning, Toppr
Pinter Pandai “Bersama-Sama Berbagi Ilmu”
Quiz | Matematika | IPA | Geografi & Sejarah | Info Unik | Lainnya | Business & Marketing

