Medan Listrik
Medan listrik adalah efek yang ditimbulkan oleh keberadaan muatan listrik, seperti elektron, ion, atau proton, dalam ruangan yang ada di sekitarnya. Ia memiliki satuan N/C atau dibaca Newton/Coulomb. Medan listrik umumnya dipelajari dalam bidang fisika dan bidang-bidang terkait dan secara tak langsung juga di bidang elektronikayang telah memanfaatkan medan listrik ini dalam kawat konduktor (kabel).
Rumus matematika untuk medan listrik
Rumus ini dapat diturunkan melalui Hukum Coulomb, yaitu gaya antara dua titik muatan:
Menurut persamaan ini, gaya pada salah satu titik muatan berbanding lurus dengan besar muatannya.
Medan listrik didefinisikan sebagai suatu konstan perbandingan antara muatan dan gaya:
Maka, medan listrik bergantung pada posisi. Suatu medan, merupakan sebuah vektor yang bergantung pada vektor lainnya. Medan listrik dapat dianggap sebagai gradien dari potensial listrik. Jika beberapa muatan yang disebarkan menghasiklan potensial listrik, gradien potensial listrik dapat ditentukan.

Konstanta k
Dalam rumus listrik sering ditemui konstanta k sebagai ganti dari (dalam tulisan ini tetap digunakan yang terakhir), di mana konstanta
tersebut bernilai:
N m2 C-2
yang kerap disebut konstanta kesetaraan gaya listrik. Konstanta gaya listrik atau konstanta kesetaraan gaya listrik atau k adalah suatu konstanta yang menyatakan kesetaraan antara gaya listrik, baik tarik-menarik atau tolak-menolak, antar dua buah muatan titik, yang dipisahkan dengan jarak tertentu, dengan hasil kali nilai kedua muatan dibagi kuadrat jarak pisahnya tersebut.
Cara menghitung medan listrik
Untuk menghitung medan listrik di suatu titik akibat adanya sebuah titik muatan
yang terletak di
digunakan rumus
Penyederhanaan yang kurang tepat
Umumnya untuk melakukan penyederhanaan dipilih pusat koordinat berhimpit dengan titik muatan yang terletak di
sehingga diperoleh rumus seperti telah dituliskan pada permulaan artikel ini, atau bila dituliskan kembali dalam notasi vektornya:
dengan vektor satuan
Disarankan untuk menggunakan rumusan yang melibatkan dan
karena lebih umum, dan dapat diterapkan untuk kasus lebih dari satu muatan dan juga pada distribusi muatan, baik distribusi diskrit maupun kontinu.
Penyederhanaan ini juga kadang membuat pemahaman dalam menghitungnya menjadi agak sedikit kabur. Selain itu pula karena penyederhanaan ini hanya merupakan salah satu kasus khusus dalam perhitungan medan listrik (kasus oleh satu titik muatan di mana titik muatan diletakkan di pusat koordinat).
Tanda muatan listrik
Muatan listrik dapat bernilai negatif, nol (tidak terdapat muatan atau jumlah satuan muatan positif dan negatif sama) dan negatif. Nilai muatan ini akan memengaruhi perhitungannya dalam hal tandanya, yaitu positif atau negatif (atau nol). Apabila pada setiap titik di sekitar sebuah (atau beberapa) muatan dihitung medan listriknya dan digambarkan vektor-vektornya, akan terlihat garis-garis yang saling berhubungan, yang disebut sebagai garis-garisnya. Tanda muatan menentukan apakah garis-garis medan listrik yang disebabkannya berasal darinya atau menuju darinya. Telah ditentukan (berdasarkan gaya yang dialami oleh muatan uji positif), bahwa
- muatan positif
(+)akan menyebabkan garis-garis medan listrik berarah dari padanya menuju keluar. - muatan negatif
(-)akan menyebabkan garis-garis medan listrik berarah menuju masuk padanya. - muatan nol
( )tidak menyebabkan adanya garis-garis medan listrik.
Gradien potensial listrik
Medan listrik dapat pula dihitung apabila suatu potensial listrik diketahui, melalui perhitungan gradiennya:
dengan
untuk sistem koordinat Kartesius.
Energi medan listrik
Medan listrik menyimpan energi. Rapat energi suatu medan listrik diberikan oleh
dengan
adalah permittivitas medium di mana medan listrik terdapat, dalam vakum
.
adalah vektor medan listrik.
Total energi yang tersimpan pada medan listrik dalam suatu volum adalah
dengan
adalah elemen diferensial volum.
Distribusi muatan listrik
Medan listrik tidak perlu hanya ditimbulkan oleh satu muatan listrik, melainkan dapat pula ditimbulkan oleh lebih dari satu muatan listrik, bahkan oleh distribusi muatan listrik baik yang diskrit maupun kontinu. Contoh-contoh distribusi muatan listrik misalnya:
- kumpulan titik-titik muatan
- kawat panjang lurus berhingga dan tak-berhingga
- lingkaran kawat
- pelat lebar berhingga atau tak-berhingga
- cakram tipis dan cincin
- bentuk-bentuk lain
Kumpulan titik-titik muatan
Untuk titik-titik muatan yang tersebar dan berjumlah tidak terlalu banyak, medan listrik pada suatu titik (dan bukan pada salah satu titik muatan) dapat dihitung dengan menjumlahkan vektor medan listrik di titik tersebut akibat oleh masing-masing muatan. Dalam kasus ini lebih baik dituliskan
yang dibaca, medan listrik di titik akibat adanya muatan
yang terletak di
. Dengan demikian medan listrik di titik {\displaystyle {\vec {r}}}
akibat seluruh muatan yang tersebar dituliskan sebagai
di mana adalah jumlah titik muatan. Sebagai ilustrasi, misalnya ingin ditentukan besarnya medan listrik pada titik
yang merupakan perpotongan kedua diagonal suatu bujursangkar bersisi
, di mana terdapat oleh empat buat muatan titik yang terletak pada titik sudut-titik sudut bujursangkar tersebut. Untuk kasus ini misalkan bahwa
dan
dan ambil pusat koordinat di titik
untuk memudahkan. Untuk kasus dua dimensi seperti ini, bisa dituliskan pula
yang akan memberikan
sehingga
yang menghasilkan bahwa medan listrik pada titik tersebut adalah nol.
Kawat panjang lurus
Kawat panjang lurus merupakan salah satu bentuk distribusi muatan yang menarik karena bila panjangnya diambil tak-hingga, perhitungan muatan di suatu jarak dari kawat dan terletak di tengah-tengah panjangnya, menjadi amat mudah.
Untuk suatu kawat yang merentang lurus pada sumbu , pada jarak
di atasnya, dengan kawat merentang dari
sampai {\displaystyle b\!}
dari titik proyeksi
pada kawat, medan listrik di titik tersebut dapat dihitung besarnya, yaitu:
Seperti telah disebutkan di atas, apabila dan
maka dengan menggunakan dalil L’Hospital diperoleh
Atau bila kawat diletakkan sejajar dengan sumbu-z dan bidang x-y ditembus kawat secara tegak lurus, maka medan listrik di suatu titik berjarak dari kawat, dapat dituliskan medan listriknya adalah
dengan adalah vektor satuan radial dalam koordinat silinder:
di mana adalah sudut yang dibentuk dengan sumbu-x positif.
Resultan Medan Litrik yang Segaris
Jika Titik B berada di antara muatan Q1 dan Q2 yang terletak segaris. Jadi ada dua medan listik yang timbul masing-masing oleh Q1 dan Q2. E1 adalah kuat medan listrik karena pengaruh muatan Q1 dirumuskan:

Sedangkan E2 adalah medan listrik karena pengaruh muatan Q2, dirumuskan:

Besar kuat medan listrik yang dialami oleh B adalah merupakan resultan vector dari E1 dan E2, dirumuskan:

Hal yang perlu diperhatikan dalam menggunakan rumus diatas yaitu jenis muatan sumber dan muatan uji. Hal tersebut akan menentukan + dan – dari medan listrik yang dialami.
Resultan Medan Listrik yang Tidak Segaris

Dari gambar di atas, titik A berada dalam pengaruh medan listrik dari muatan Q1 dan Q2, sehingga antara titik Q1, A, dan Q2 membentuk sebuah sudut apit dengan nilai tertentu. Total kuat medan listrik yang dialami oleh titik A adalah resultan dari vector E1 dan E2. Untuk menentukan besarnya digunakan rumus resultan vektor.
Contoh Soal dan Jawaban Medan Listrik
1. Sepotong pecahan kaca bermassa 5 mg bermuatan 2 μC. Kuat medan listrik yang dibutuhkan untuk menahan agar potongan keca tersebut dapat terapung di udara adalah…
A. 10 V/m
B. 1,8 V/m
C. 25 V/m
D. 100 V/m
E. 19,5 V/m
Pembahasan :
Agar potongan kaca terapung di udara, maka:
⇒ Gaya berat = gaya listrik
⇒ W = Fc
⇒ m.g = q.E
⇒ (5 x 10-6)(10) = (2 x 10-6) E
⇒ E = 50/2
⇒ E = 25 V/m
Jawaban : C
2. Sebuah muatan uji +25.105 C diletakkan dalam sbuah medan listrik. Jika gaya yang bekerja pada muatan uji tersebut adalah 0,5 N. Berapa besar medan listrik pada muatan uji tersebut?
Pembahasan:
Diketahui:
F= 0,5 N
q = +25. 105 C
Ditanya: E ….?
Jawaban:
E = F/q
E = 0,5/25. 105 C
E = 5. 104 / 25 = 2000 N/C
Sebuah partikel yang bermuatan negatif sebesar 5 Coulomb diletakkan diantara dua buah keping yang memiliki muatan berlawanan.
Jika muatan tersebut mengalami gaya sebesar 0,4 N ke arah keping B, tentukan besar kuat medan listrik dan jenis muatan pada keping A!

Pembahasan dan jawaban:
F = QE
E = F / Q = 0,4 / 5 = 0,08 N/C
Untuk muatan negatif arah E berlawanan dengan F sehingga E berarah ke kiri dan dengan demikian keping B positif, keping A negatif.
3. Dua buah muatan titik +10μC dan -10 μC berada
pada jarak 20 cm di udara. Besar gaya yang dialami oleh muatan +1μC yang
terletak di tengah-tengah jarak antar kedua muatan tersebut adalah…
A. Nol
B. 4,5 N
C. 9,0 N
D. 18 N
E. 45 N
Pembahasan :
Karena
muatan +1μC terletak di tengah-tengah dua muatan yang tidak sejenis,
maka gaya coulomb yang dialami muatan +1μC oleh muatan +10μC searah
dengan gaya coulomb oleh muatan -10μC.
Dengan demikian,
gaya coulomb total yang dialami muatan +1μC adalah gaya coulomb dari
muatan +10μC ditambah gaya coulomb oleh muatan -10μC.
Sehingga berlaku :
⇒ F = F1 + F2
| ⇒ F = k | 10-6.10-5 | + k | 10-6.10-5 |
| (10-1)2 | (10-1)2 |
| ⇒ F = k | 10-11 | + k | 10-11 |
| 10-2 | 10-2 |
⇒ F = k.10-9 + k.10-9
⇒ F = 2k.10-9
⇒ F = 2 (9 x 109).10-9
⇒ F = 18 N
Jawaban : D
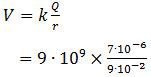
4. Sebuah konduktor berbentuk bola berongga dengan jari-jari 6 cm. Bila muatan bola tersebut 7 μC maka besar potensial listrik pada titik Q adalah … (k = 9.109 N.m2.C−2 dan 1 μC = 10−6 C).
Besar muatan bola berongga adalah
Q = 7 μC
= 7.10−6 C
Jarak titik Q dari pusat bola adalah
r = (6 + 3) cm
= 9 cm
= 9.10−2 m

= 7.105
Jadi, besar potensial listrik di titik Q adalah 7.105 volt (B).
5. Sebuah muatan uji +25.105 C diletakkan dalam sbuah medan listrik. Jika gaya yang bekerja pada muatan uji tersebut adalah 0,5 N. Berapa besar medan listrik pada muatan uji tersebut?
Pembahasan:
Diketahui:
F= 0,5 N
q = +25. 105 C
Ditanya: E ….?
Jawab :
E = F/q
E = 0,5/25. 105 C
E = 5. 104 / 25 = 2000 N/C
6. Sebuah elektron dengan massa 9,11 × 10−31 kg dan muatan listrik − 1,6 × 10−19 C, lepas dari katode menuju ke anode yang jaraknya 2 cm. Jika kecepatan awal elektron 0 dan beda potensial antara anode dan katode 200 V, maka elektron akan sampai di anode dengan kecepatan…
Pembahasan dan jawaban:
Data dari soal:
me = 9,11 × 10−31 kg
Qe = − 1,6 × 10−19 C
ν1 = 0 m/s
ΔV = 200 volt
ν2 = ……. !?
Dengan hukum kekekalan energi mekanik, energi mekanik elektron saat di anode sama dengan energi mekanik saat di katode:
![]() |
7. Dua buah partikel bermuatan berjarak R satu sama lain dan terjadi gaya tarik-menarik sebesar F.
Jika jarak antara kedua muatan dijadikan 4 R, tentukan nilai perbandingan besar gaya tarik-menarik yang terjadi antara kedua partikel terhadap kondisi awalnya!
Pembahasan dan jawaban:
![]()
sehingga

8. Titik A terletak di tengah-tengah dua buah muatan yang sama besar tetapi berlainan jenis yang terpisah sejauh a. Besar kuat medan listrik di titik A saat itu 36 NC-1. Jika titik A tersebut digeser ¼ a mendekati salah satu muatan, maka besar kuat medan listrik titik A setelah digeser adalah…
A. 100 NC-1
B. 96 NC-1
C. 80 NC-1
D. 60 NC-1
E. 16 NC-1
Pembahasan
Diketahui :
Muatan 1 (q1) = +Q
Muatan 2 (q2) = -Q
Jarak antara muatan 1 dan titik A (r1A) = ½ a
Jarak antara muatan 2 dan titik A (r2A) = ½ a
Kuat medan listrik di titik A (EA) = 36 NC-1
9. Dua buah muatan masing-masing 8 μC dan 2 μC diletakkan pada sumbu x
pada jarak 6 m satu sama lain. Muatan pertama terletak pada pusat
koordinat. Agar sebuah muatan negatif tidak mengalami gaya sedikitpun,
maka muatan ini harus diletakkan pada posisi…
A. x = -4 m
B. x = -2 m
C. x = 2 m
D. x = 4 m
E. x = 8 m
Pembahasan :
Misalkan qA = 8 μC dan qB = 2 μC
Agar
resultan gaya coulomb yang dialami oleh muatan negatif sama dengan nol
(tidak mengalami gaya sama sekali), maka arah gaya coulomb dari muatan 8
μC harus berlawanan arah dengan gaya coulomb dari muatan 2 μC dengan
besar yang sama sehingga saling meniadakan.
Karena
kedua muatan 8 μC dan 2 μC positif, maka muatan negatif harus diletakkan
di antara kedua muatan tersebut sehingga gayanya saling berlawanan
seperti pada gambar berikut:
Sehingga berlaku :
⇒ F = FA – FB
⇒ 0 = FA – FB
⇒ FA = FB
| ⇒ k | q.qA | = k | q.qB |
| RA2 | RB2 |
| ⇒ | RB2 | = | 2 μC |
| RA2 | 8 μC |
| ⇒ | RB2 | = | 1 |
| RA2 | 4 |
⇒ RB2 = ¼
RA2
⇒ RB = ½
RA
Karena kita misalkan RB = 6 – x, dan RA = x, maka:
⇒ RB = ½
RA
⇒ 6 – x = ½x
⇒ 6 = ½x + x
⇒ 6 = 3/2 x
⇒ x = 12/3
⇒ x = 4 m sebelah kanan muatan 8 μC.
Jawaban : D
10. Dua buah partikel A dan B masing-masing bermuatan listrik +20 μC dan +45 μC terpisah oleh jarak 15 cm. Jika C adalah titik yang terletak di antara A dan B, sedemikian sehingga medan di C sama dengan nol, maka letak titik C dari partikel A adalah…
A. 2 cm
B. 3 cm
C. 4 cm
D. 6 cm
E. 8 cm
Pembahasan :
Dik : qA = +20 μC, qB = +45 μC, dan R = 15 cm
Karena
kedua muatan A dan B bernilai positif, maka muatan C dapat diletakkan
di antara kedua muatan tersebut sehingga arah medan listrik yang
dihasilkan oleh A dan B berlawanan arah.
Agar sama dengan nol, maka
⇒ EA = EB
| ⇒ k | qA | = k | qB |
| RA2 | RB2 |
| ⇒ | 20 | = | 45 |
| x2 | (15 – x)2 |
| ⇒ | 20 | = | 45 |
| x2 | 225 – 30x + x2 |
⇒ 45x2 = 20(225 – 30x + x2)
⇒ 45x2 = 4500 – 600x + 20x2
⇒ 25x2 = 4500 – 600x
⇒ 25x2 + 600x – 4500 = 0
⇒ x2 + 24x – 180 = 0
⇒ (x + 30)(x – 6) = 0
⇒ x = -30 atau x = 6
Jadi, letak titik C dari partikel A adalah 6 cm.
Jawaban : D
11. Terdapat tiga muatan q1, q2, dan q3 yang berada pada satu garis dengan q2 berada di antara q1 dan q3. Jaraka antara q1 dan q2 adalah a sedangkan jarak antara q2 dan q3 adalah 0,5a. Muatan q1 dan q2 masing-masing +10μC, +20μC. Agar gaya coulomb yang dialami q2 sama dengan nol, maka besar muatan q3 adalah…
A. 2,5 μC
B. -2,5 μC
C. 25 μC
D. -25 μC
E. 4 μC
Pembahasan :
Gaya coulomb yang dialami oleh q2 bisa bernilai nol jika gaya coulomb yang berasal dari muatan q1 sama dengan gaya coulomb yang diberikan oleh muatan q3. Dengan kata lain gaya coulomb akibat q1 dan q3 saling meniadakan.
Karena
muatan pertama dan muatan kedua positif, maka agar gaya coulombnya
saling meniadakan (berlawanan arah), muatan ketiga harus positif.
Dengan demikian berlaku :
⇒ F21 = F23
| ⇒ k | q2 . q1 | = k | q2 . q3 |
| (R21)2 | (R23)2 |
| ⇒ | q1 | = | q3 |
| (R21)2 | (R23)2 |
| ⇒ | 10 | = | q3 |
| a2 | (0,5a)2 |
| ⇒ | 10 | = | q3 |
| a2 | 0,25a2 |
⇒ q3 = 2,5μC
Jawaban : A
12. Kuat medan listrik sejauh 4 cm dari suatu muatan titik q sama dengan
10 N/C. Kuat medan listrik sejauh 8 cm dari muatan titik 6q sama dengan…
A. 20 N/C
B. 15 N/C
C. 12 N/C
D. 10 N/C
E. 6 N/C
Pembahasan :
Perbandingan kuat medan listrik
| ⇒ | E1 | = | q1 . r22 |
| E2 | q2 . r12 |
| ⇒ | 10 | = | q .82 |
| E2 | 6q .42 |
| ⇒ | 10 | = | 4 |
| E2 | 6 |
⇒ E2 = 60/4
⇒ E2 = 15 N/C
Jawaban : B
13. Kuat medan listrik di satu titik P yang ditimbulkan oleh sebuah muatan q di titik asal O…
(1) Arahnya menjauhi q bila q positif, menuju q bila q negatif
(2) Berbanding langsung dengan q
(3) Berbanding terbalik dengan kuadrat jarak OP
(4) Arahnya sama dengan gaya Coulomb pada muatan q’ di P bila q positif dan berlawanan dengan gaya coulomb tersebut bila q negatif.
Pembahasan :
Jika muatan q positif, maka arah garis medan ke luar menjauhi muatan q (ke luar). Sebaliknya jika q bernilai negatif, maka arah garis medan listrik menuju muatan q (ke dalam).
Kuat medan listrik di suatu titik P yang berjarak r dari muatan q berbanding lurus dengan muatan q dan berbanding terbalik dengan kuadrat jarak. Secara matematis ditulis sebagai berikut:
| E = k | q |
| r2 |
Dengan :
E = kuat medan listrik
k = tetapan
q = muatan
r = jarak titik ke muatan
Arah kuat medan listriknya selalu sama dengan arah gaya Coulomb terhadap muatan q’ sebagai muatan uji. Jadi, opsi yang benar adalah 1, 2, dan 3.
Jawaban : A
14. Potensial listrik sejauh 4 cm dari muatan titik q sama dengan 10 V. Potensial listrik sejauh R dari muatan titik 5q sama dengan 20V. Nilai R sama dengan…
A. 6 cm
B. 7 cm
C. 8 cm
D. 9 cm
E. 10 cm
Pembahasan :
Dik : r1 = 4 cm, r2 = R, q1 = q, q2 = 5q, V1 = 10V, V2 = 20 V
Perbandingan potensial listrik :
| ⇒ | V1 | = | k.q1/r1 |
| V2 | k.q2/r2 |
| ⇒ | 10 | = | q/4 |
| 20 | 5q/R |
| ⇒ | 1 | = | R |
| 2 | 5.4 |
⇒ R = 10 cm.
Jawaban : E
15. Empat buah muatan diletakkan di setiap sudut persegi yang panjang sisinya 10√2 cm. Jika O adalah titik perpotongan diagonal, maka kuat medan listrik di titik O adalah…
A. 9 x 106 N/C
B. 9√2 x 106 N/C
C. 18 x 106 N/C
D. 18√2 x 106 N/C
E. 36√2 x 106 N/C
Pembahasan :
Karena jarak dan besar muatan sama, maka medan listrik di titik O dapat digambarkan seperti berikut:
Kuat medan listrik:
| ⇒ E = k | q |
| r2 |
| ⇒ E = (9 x 109) | (10-5) |
| (0,1)2 |
⇒ E = 9 x 106 N
Kuat medan listrik di titik O:
⇒ Eo = √(2E)2 + (2E)2
⇒ Eo = 2E √2
⇒ Eo = 2E √2
⇒ Eo = 2(9 x 106) √2
⇒ Eo = 18√2 x 106 N/C
Jawaban : D
Bacaan Lainnya
- Rumus Rangkaian Listrik Dan Contoh-Contoh Soal Beserta Jawabannya
- Rumus Fisika: Alat optik: Lup, Mikroskop, Teropong Bintang, Energi, Frekuensi, Gaya, Gerak, Getaran, Kalor, Massa jenis, Medan magnet, Mekanika fluida, Momen Inersia, Panjang gelombang, Pemuaian, Percepatan (akselerasi), Radioaktif, Rangkaian listrik, Relativitas, Tekanan, Usaha Termodinamika, Vektor
- Bagaimana Albert Einstein mendapatkan rumus E=mc² ?
- Cara Mengemudi Aman Pada Saat Mudik atau Liburan Panjang
- Jenis Virus Komputer – Cara Gratis Mengatasi Dengan Windows Defender
- Cara Menghentikan Penindasan Bullying
- Cara menjaga keluarga Anda aman dari teroris – Ahli anti-teror menerbitkan panduan praktis
- Apakah Anda Memerlukan Asuransi Jiwa? – Cara Memilih Asuransi Jiwa Untuk Pembeli Yang Pintar
- Ibu Hamil Dan Bahaya Kafein – Sayur & Buah Yang Baik Pada Masa Kehamilan
- Daftar Jenis Kanker: Pemahaman Kanker, Mengenal Dasar-Dasar, Contoh Kanker, Bentuk, Klasifikasi, Sel dan Pemahaman Penyakit Kanker Lebih Jelas
- Penyebab Dan Cara Mengatasi Iritasi Atau Lecet Akibat Pembalut Wanita
- Apakah Produk Pembalut Wanita Aman?
- Sistem Reproduksi Manusia, Hewan dan Tumbuhan
- Cara Mengenal Karakter Orang Dari 5 Pertanyaan Berikut Ini
- Kepalan Tangan Menandakan Karakter Anda & Kepalan nomer berapa yang Anda miliki?

Pasang iklan & promosikan jualan Anda sekarang juga! 100% GRATIS di: www.TokoPinter.com

Unduh / Download Aplikasi HP Pinter Pandai
Respons “Ooo begitu ya…” akan lebih sering terdengar jika Anda mengunduh aplikasi kita!
Siapa bilang mau pintar harus bayar? Aplikasi Ilmu pengetahuan dan informasi yang membuat Anda menjadi lebih smart!
Sumber bacaan: Physics Classroom, Tutor Vista
Pinter Pandai “Bersama-Sama Berbagi Ilmu”
Quiz | Matematika | IPA | Geografi & Sejarah | Info Unik | Lainnya


